Generell betrachtet, bewegt sich jeder Tänzer bei allen Circulates auf einem definierten Pfad (dem „Circulate-Pfad“) auf die nächste Tänzerposition. Die Definitionen beziehen sich auf die folgenden Diagramme:



Für keine Anweisung in der Circulate-Familie gelten die Ocean-Wave-Rule oder die Facing-Couples-Rule (Siehe „Teil 1: Allgemeines; Konventionen und Regeln“).
Unterteilen (Fraktionalisieren) ist erlaubt und wird gelegentlich bei Figuren der Circulate-Familie angewandt. Siehe auch: „Teil 4: Zusätzlichen Angaben: Teile von Calls“.
Das Timing für alle Circulates ist 4; hat Circulate jedoch den Effekt eines Pass Thru, ist das Timing 2.
Die verschiedenen Arten von Circulate und ihre unterschiedlichen Benennungsmöglichkeiten sind in den folgenden Abschnitten detailliert beschrieben.
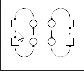
21a. (Named Dancers) Circulate
Kommandobeispiele
- Centers (or Ends) Circulate
- Girls (or Boys) Circulate
- Everyone Circulate
- Circulate
Tanzaktion
Angesprochene Tänzer gehen vorwärts auf die nächste Position. Dabei folgen sie dem entsprechenden Circulate-Pfad der Line oder Column.
Ein Tänzer, der aus der Formation hinaussieht, geht dabei einen 180°-Bogen und beendet die Aktion auf der nächsten Position auf der anderen Seite und sieht in die Formation hinein. Die anderen gehen eine Tänzerposition vorwärts.
21b. Couples Circulate
Kommandobeispiele
- Couples Circulate
Tanzaktion
Jedes Paar bewegt sich als Einheit entsprechend dem allgemeinen Box Circulate Pfad vorwärts zur nächsten Position. Beispiel:

21c. All 8 Circulate
Kommandobeispiele
- All 8 Circulate
Bemerkungen
Es ist nicht richtig, All 8 Circulate so zu unterrichten, dass Ends immer Ends und Centers immer Centers bleiben. Diese Aussage stimmt zwar für Lines und Waves, aber nicht für Columns.
Aus Two-Faced Lines ist Couples Circulate (#21.b) die übliche Variante, um die Anweisung All 8 Circulate zu geben. Aus Columns ist Single File Circulate (#21.d) das Gleiche wie All 8 Circulate.
Bewegen sich Tänzer in entgegengesetzte Richtungen auf dem gleichen Pfad, entspricht All 8 Circulate oft anderen Figuren (z. B. Pass Thru oder Trade By). Diese Anweisungen sind statthaft, aber sie irritieren viele Tänzer. Ausser in Unterrichtssituationen werden sie oft als Versuche angesehen, Tänzer herein zu legen und sollten daher vermieden werden. Auf der anderen Seite ist All 8 Circulate aus Three and One Lines akzeptabel, wenn auch noch schwierig und ungewöhnlich im Mainstream-Programm.
21d. Single File Circulate
Kommandobeispiele
- Circulate
- Column Circulate
- Single File Circulate
21e. Box / Split Circulate
Obwohl Box Circulate und Split Circulate ähnlich zu einander sind, werden sie separat behandelt.
21e – Fall 1: Box Circulate
Kommandobeispiele
- Heads Touch 1/4; Heads Box Circulate
- Centers Box Circulate
- Pass To The Center; Centers Touch 1/4 and Box Circulate
Bemerkungen
Box Circulate ist nur angemessen wenn eine Gruppe von vier Tänzern oder, selten, zwei Gruppen von je vier Tänzern angesprochen werden. Beispielsweise könnte gesagt werden: „On each side Box Circulate“, aber „Split Circulate“ wäre hier die übliche und bevorzugte Ansage.
Wurden die Tänzer in einer Box-Circulate-Formation bereits identifiziert, entsprechen sich Circulate und Box Circulate und viele Caller werden nur noch „Circulate“ ansagen.
21e – Fall 2: Split Circulate
Kommandobeispiele
- Split Circulate
Tanzaktion
Teile die Formation in zwei Hälften. Die Tänzer in jeder Hälfte bewegen sich auf dem Circulate-Pfad für Box Circulate zur nächsten Position. Beispiele:

Schlussformation
(Juni 2008)
F: Ausgehend von einer Completed Double Pass Thru Formation, wurde der Call All Eight Circulate angesagt. Die Frage ist: Erfüllt diese Applikation die schriftliche CALLERLAB Basic Definition?
A: Die Antwort ist NEIN, es erfüllt nicht die Basic Definition; wie auch immer, es wäre möglich im C-1 Progamm und weiterführenden Progammen, da es Challenge Definition für die 16-matrix erfüllt. Die Endformation wären Ocean Waves weit auseinander und die “right hand rule” hier zutreffen.
(November 2000)
F: Wäre es akzeptabel „Split Circulate“ aus einer double pass thru Formation zu callen?
A: NEIN. Selbst wenn es technisch gesehen korrekt ist, so sollte es dennoch nicht als eine Erweiterung von split circulate gesehen werden, da es bei den Tänzern zur Verwirrung führt und einen schlechten body flow hat. Das Kommittee ist davon überzeugt, dass es vom Caller sehr unüberlegt ist, wenn er seine Tänzer auf diese Art und Weise zu callen bloßstellt. Wir wollen nicht, dass sich Square Dance in diese Richtung entwickelt.
(April 2002)
F: Ist es in Ordnung „Circulate“ aus einer Tidal Wave zu callen?
A: NEIN. Dieser Call stimmt nicht mit der Definition überein, da es keinen klaren Circulate Pfad gibt.
(Juli 2011)
F: Aus einer double pass thru Formation verwendete der Caller “All Eight Circulate Twice” und erwartete von seinen Tänzern in ihrer eigenen Column zu bleiben, geradeaus vorwärts zu gehen und in einer completed double pass thru Formation zu enden. Ist dies richtig?
A: Das Kommittee beschließt, dass dies nicht der circulate Definition entspricht. Nach dem ersten Circulate enden die Tänzer in parallel waves. Folglich würde ein weiters circulate wieder in parallel waves enden. Der Caller sollte einfach Double Pass Thru callen.
(Juli 2011)
F: Aus einer Two Faced Lines, war der Call “All Eight Split Circulate Double”. Der Caller erwartete, dass die Leaders einen Partner Trade und dann einen Pass Thru und die Trailers einen Pass Thru und den Partner Trade machen. Ist dies richtig?
A: NEIN, da es nicht mit der CALLERLAB Basic Identifikation übereinstimmt und daher unangebracht ist. Wie auch immer, die oben beschriebene Aktion kann im Advanced Program durchgeführt werden als “Do your part”, vorausgesetzt die Tänzer verstehen die Intention des Callers.
© Copyright 1994, 2000-2018 by CALLERLAB Inc., The International Association of Square Dance Callers. Permission to reprint, republish, and create derivative works without royalty is hereby granted, provided this notice appears. Publication on the Internet of derivative works without royalty is hereby granted provided this notice appears. Permission to quote parts or all of this document without royalty is hereby granted, provided this notice is included. Information contained herein shall not be changed nor revised in any derivation or publication.


Bemerkungen
Der Call „(Named Dancers) Circulate“ wird gewöhnlich bei General Lines angewandt.
Sind alle Tänzer aktiv (z.B. Everyone Circulate) treffen die Kommentare zu All 8 Circulate (#21.c) ebenfalls zu.
Circulate entspricht Everyone Circulate, es sei denn, durch die vorherige Anweisung ist klar, dass nur die aktiven Tänzer Circulate ausführen können. Zum Beispiel: Dive Thru, Centers Touch 1⁄4 and Circulate.
Nicht alle Tänzer auf einem Circulate-Pfad müssen in die gleiche Richtung gehen. Tänzer, die sich auf demselben Pfad entgegen kommen, passieren einander mit der rechten Schulter. (Siehe „Teil 1: Allgemeines: Konventionen und Regeln: Passing Rule“)
Named Dancers) Circulate wird manchmal allgemeiner in ungewöhnlichen Formationen angewandt. Jeder Tänzer geht in einer möglichst sanft gerundeten Kurve oder geradeaus vorwärts zur nächsten Tänzerposition. Zum Beispiel:
Es nicht statthaft (Named Dancers) Circulate so zu callen, dass ein Tänzer mit Circulate auf der Position eines inaktiven Tänzers landet, beispielsweise aus Columns: Ends Circulate. Aus Colums ist Centers Circulate nur statthaft, wenn der Caller deutlich macht, dass die Centers in der Mitte bleiben, wie zum Beispiel mit „Boys work in the center and Circulate“. Stattdessen kann auch Box Circulate ((#21.e) angewandt werden, z.B. „Centers Box Circulate“.